Selina Concise Mathematics Class 8 ICSE Solutions Chapter 2 Exponents (Powers)
Selina Publishers Concise Mathematics Class 8 ICSE Solutions Chapter 2 Exponents (Powers)
Exponents Exercise 2A – Selina Concise Mathematics Class 8 ICSE Solutions
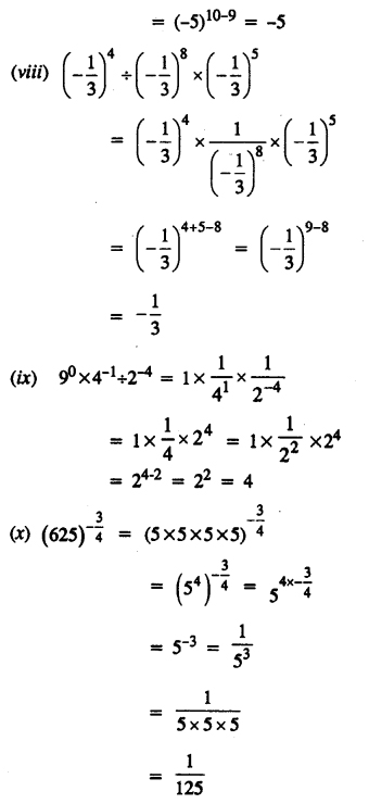
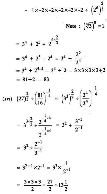
Question 1.Evaluate:
Solution:
Question 2.
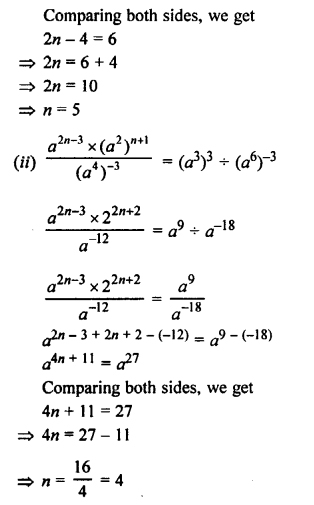
If 1125 = 3m x 5n; find m and n.
Solution:

Question 3.
Find x, if 9 × 3x = (27)2x-3
Solution:

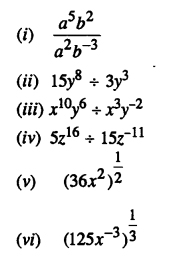
Compute:

If 1125 = 3m x 5n; find m and n.
Solution:

Question 3.
Find x, if 9 × 3x = (27)2x-3
Solution:

Exponents Exercise 2B – Selina Concise Mathematics Class 8 ICSE Solutions
Question 1.Compute:

Question 2.
Solution:
Question 13.



















































