Selina Concise Mathematics Class 8 ICSE Solutions Chapter 12 Algebraic Identities
Selina Publishers Concise Mathematics Class 8 ICSE Solutions Chapter 12 Algebraic Identities
Algebraic Identities Exercise 12A – Selina Concise Mathematics Class 8 ICSE Solutions
Question 1.Use direct method to evaluate the following products :
(i) (x + 8)(x + 3)
(ii) (y + 5)(y – 3)
(iii) (a – 8)(a + 2)
(iv) (b – 3)(b – 5)
(v) (3x – 2y)(2x + y)
(vi) (5a + 16)(3a – 7)
(vii) (8 – b) (3 + b)
Solution:
Question 4.
Use the product (a + b) (a – b) = a2 – b2 to evaluate:
(i) 21 x 19
(ii) 33 x 27
(iii) 103 x 97
(iv) 9.8 x 10.2
(v) 7.7 x 8.3
(vi) 4.6 x 5.4
Solution:
Use the product (a + b) (a – b) = a2 – b2 to evaluate:
(i) 21 x 19
(ii) 33 x 27
(iii) 103 x 97
(iv) 9.8 x 10.2
(v) 7.7 x 8.3
(vi) 4.6 x 5.4
Solution:
Algebraic Identities Exercise 12B – Selina Concise Mathematics Class 8 ICSE Solutions
Question 1.
Expand :
(i) (2a + b)2
(ii) (a – 2b)2
Question 1.
Expand :
(i) (2a + b)2
(ii) (a – 2b)2
Question 2.
Question 3.
Evaluate:
Using expansion of (a + b)2 or (a – b)2
(i) (208)2
(ii) (92)2
(iii)(415)2
(iv) (188)2
(v) (9.4)2
(vi) (20.7)2
Solution:
Using expansion of (a + b)2 or (a – b)2
(i) (208)2
(ii) (92)2
(iii)(415)2
(iv) (188)2
(v) (9.4)2
(vi) (20.7)2
Solution:
Solution:
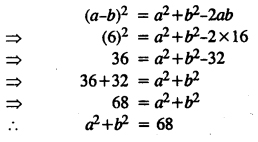
If a+b=5 and ab = 6; find a2 + b2
Solution:
Algebraic Identities Exercise 12C – Selina Concise Mathematics Class 8 ICSE Solutions
Question 1.If a+b=5 and ab = 6; find a2 + b2
Solution:
Solution:
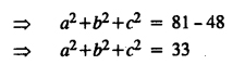
Question 13.
If a – b=3 and ab = 10; find a3 – b3
Solution:
If a – b=3 and ab = 10; find a3 – b3
Solution:
Question 14.
Solution:
Question 15.
Solution:
Question 16.
Solution:
Question 17.
Solution:
Question 18.
The sum of the squares of two numbers is 13 and their product is 6. Find:
(i) the sum of the two numbers.
(ii) the difference between them.
Solution:
Let x and y be the two numbers, then
Evaluate:
(i) the sum of the two numbers.
(ii) the difference between them.
Solution:
Let x and y be the two numbers, then
Algebraic Identities Exercise 12D – Selina Concise Mathematics Class 8 ICSE Solutions
Question 1.Evaluate:
Question 4.
Question 7.
Question 11.
Question 15.
Question 16.
The difference between two numbers is 5 and their products is 14. Find the difference between their cubes.
Solution:
Let x and y be two numbers, then x – y = 5 and xy = 14




























































































